Официальное опубликование правовых актов
ОФИЦИАЛЬНОЕ ОПУБЛИКОВАНИЕ
Постановление Администрации муниципального образования Кингисеппский муниципальный район Ленинградской области от 08.09.2017 № 2333
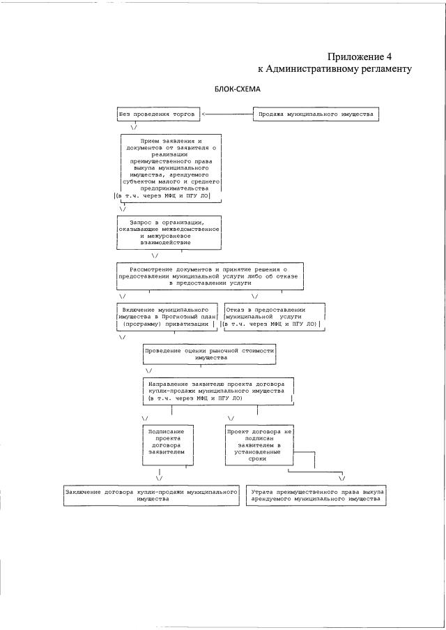
"Об утверждении административного регламента по предоставлению муниципальной услуги "Приватизация имущества, находящегося в муниципальной собственности" в соответствии с Федеральным законом от 22 июля 2008 года № 159-ФЗ "Об особенностях отчуждения недвижимого имущества, находящегося в государственной собственности субъектов Российской Федерации или в муниципальной собственности и арендуемого субъектами малого и среднего предпринимательства, и о внесении изменений в отдельные законодательные акты Российской Федерации" (тестовое опубликование)
Номер опубликования: 4702201709180003
Дата опубликования: 18.09.2017
Страница №36 из 37:
Увеличить