Официальное опубликование правовых актов
ОФИЦИАЛЬНОЕ ОПУБЛИКОВАНИЕ
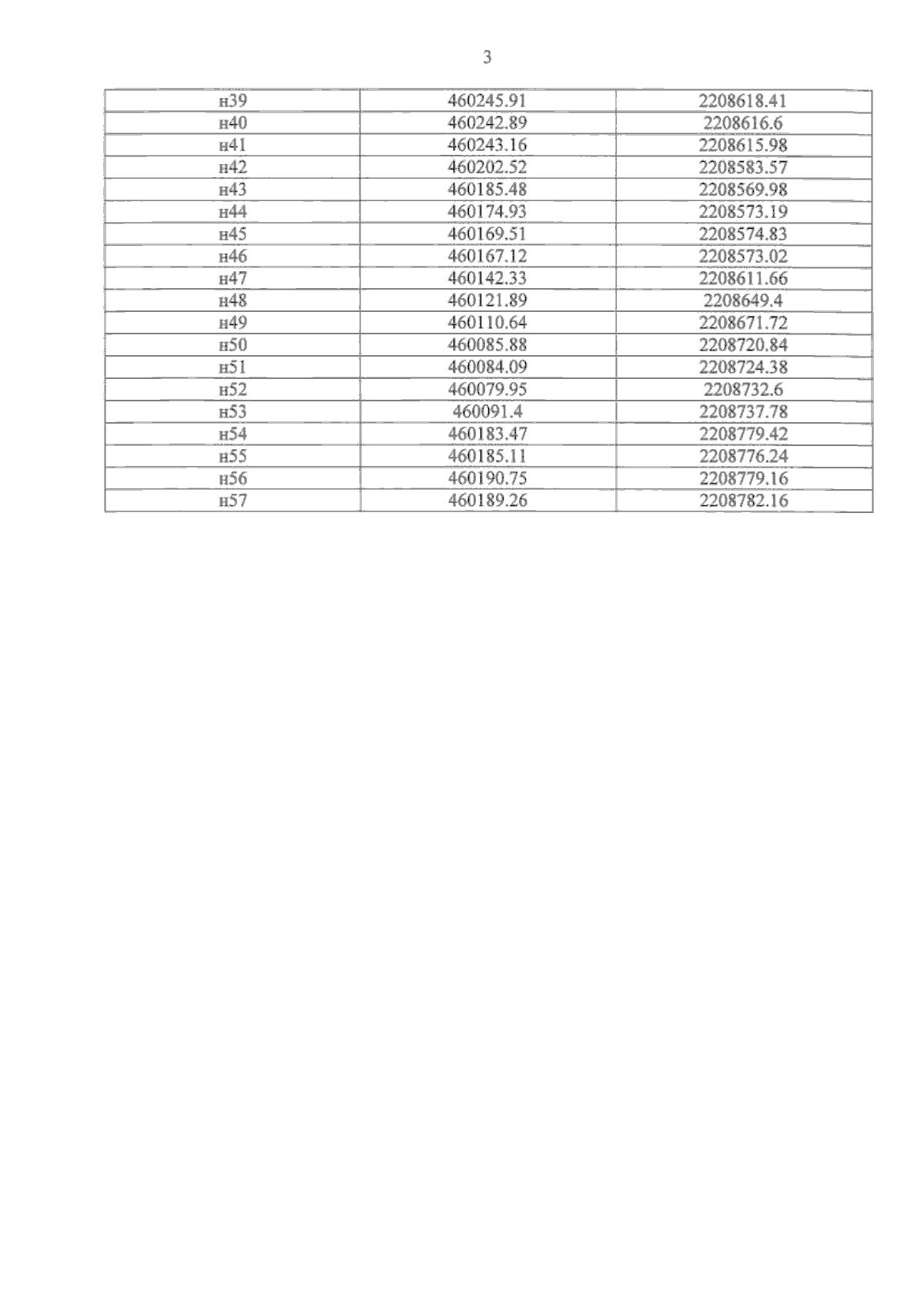
Приказ Комитета градостроительной политики Ленинградской области от 04.03.2026 № 25
"Об утверждении проекта планировки территории и проекта межевания территории, ограниченной территориальными зонами ТЖ-4, ТСН-1 и ул. Заречной в г. Сертолово Всеволожского муниципального района Ленинградской области"
(Зарегистрирован 04.03.2026 № 01-06-25/2026)
Номер опубликования: 4701202603100005
Дата опубликования: 10.03.2026
Страница №5 из 32:
Увеличить