Официальное опубликование правовых актов
ОФИЦИАЛЬНОЕ ОПУБЛИКОВАНИЕ
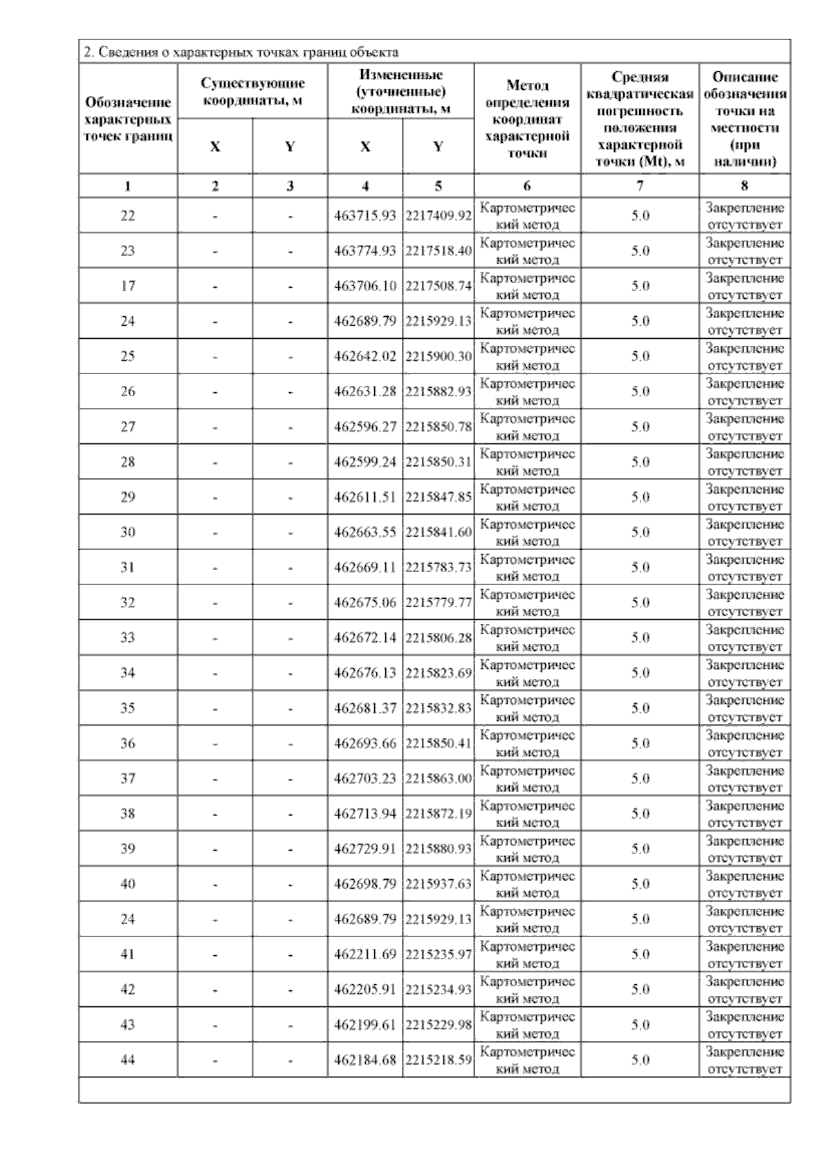
Приказ Комитета градостроительной политики Ленинградской области от 30.01.2026 № 9
"О внесении изменений в Правила землепользования и застройки муниципального образования "Агалатовское сельское поселение" Всеволожского муниципального района Ленинградской области"
(Зарегистрирован 30.01.2026 № 01-06-9/2026)
Номер опубликования: 4701202602030013
Дата опубликования: 03.02.2026
Страница №17 из 25:
Увеличить