Официальное опубликование правовых актов
ОФИЦИАЛЬНОЕ ОПУБЛИКОВАНИЕ
Приказ Комитета градостроительной политики Ленинградской области от 26.12.2025 № 161
"О внесении изменений в Правила землепользования и застройки муниципального образования "Агалатовское сельское поселение" Всеволожского муниципального района Ленинградской области"
(Зарегистрирован 26.12.2025 № 01-06-161/2025)
Номер опубликования: 4701202512290016
Дата опубликования: 29.12.2025
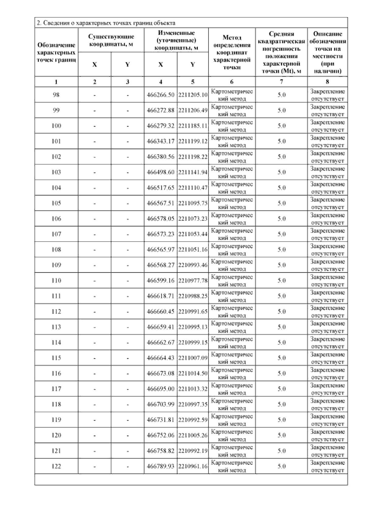
Страница №21 из 230:
Увеличить