Официальное опубликование правовых актов
ОФИЦИАЛЬНОЕ ОПУБЛИКОВАНИЕ
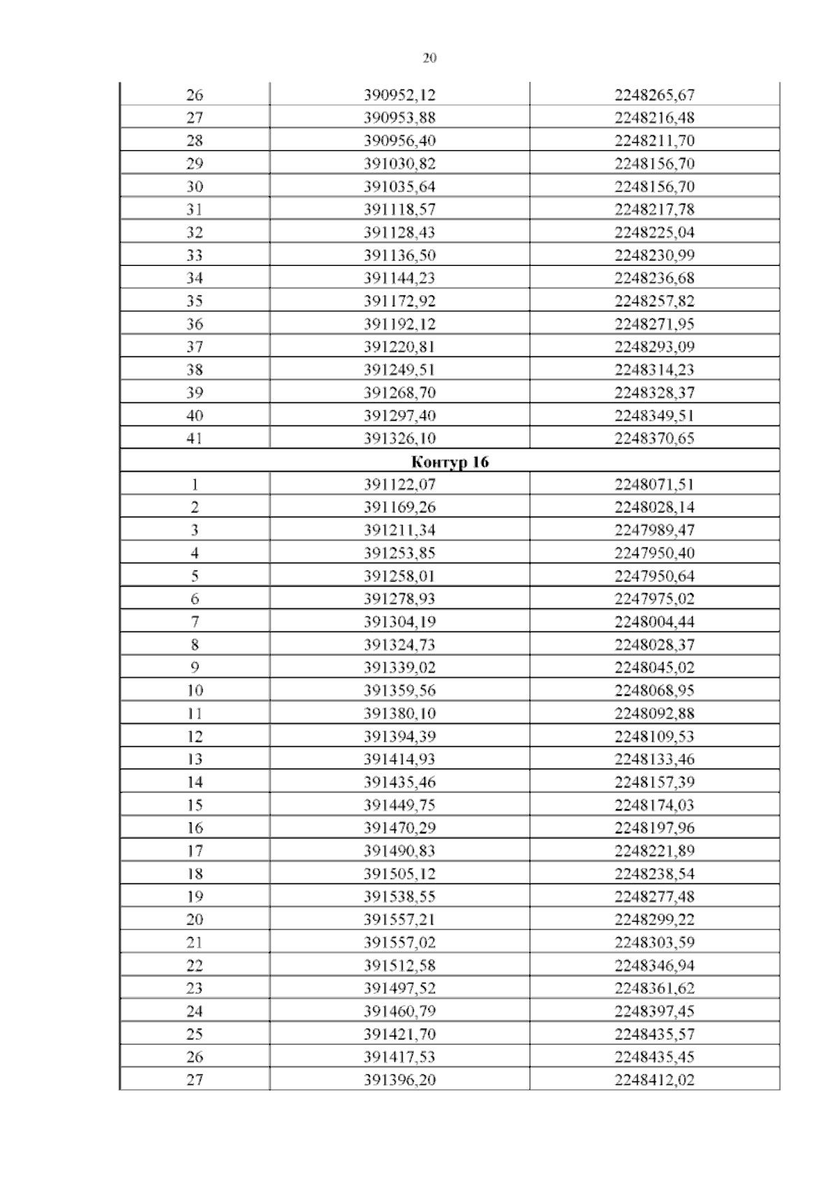
Приказ Комитета градостроительной политики Ленинградской области от 25.12.2025 № 158
"Об утверждении проекта планировки территории и проекта межевания территории, расположенной в юго-восточной части г. Тосно Тосненского района Ленинградской области"
(Зарегистрирован 25.12.2025 № 01-06-158/2025)
Номер опубликования: 4701202512290013
Дата опубликования: 29.12.2025
Страница №22 из 476:
Увеличить