Официальное опубликование правовых актов
ОФИЦИАЛЬНОЕ ОПУБЛИКОВАНИЕ
Приказ Комитета по природным ресурсам Ленинградской области от 22.12.2025 № 42
"О внесении изменений в приказ комитета по природным ресурсам Ленинградской области от 01.11.2018 года № 21 "Об утверждении лесохозяйственного регламента Гатчинского лесничества Ленинградской области"
(Зарегистрирован 22.12.2025 № 42)
Номер опубликования: 4701202512260075
Дата опубликования: 26.12.2025
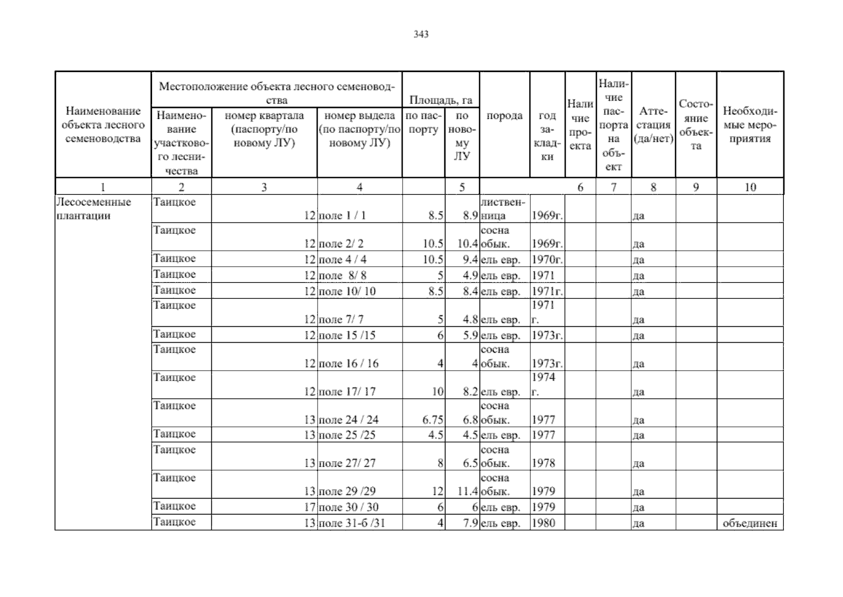
Страница №344 из 369:
Увеличить