Официальное опубликование правовых актов
ОФИЦИАЛЬНОЕ ОПУБЛИКОВАНИЕ
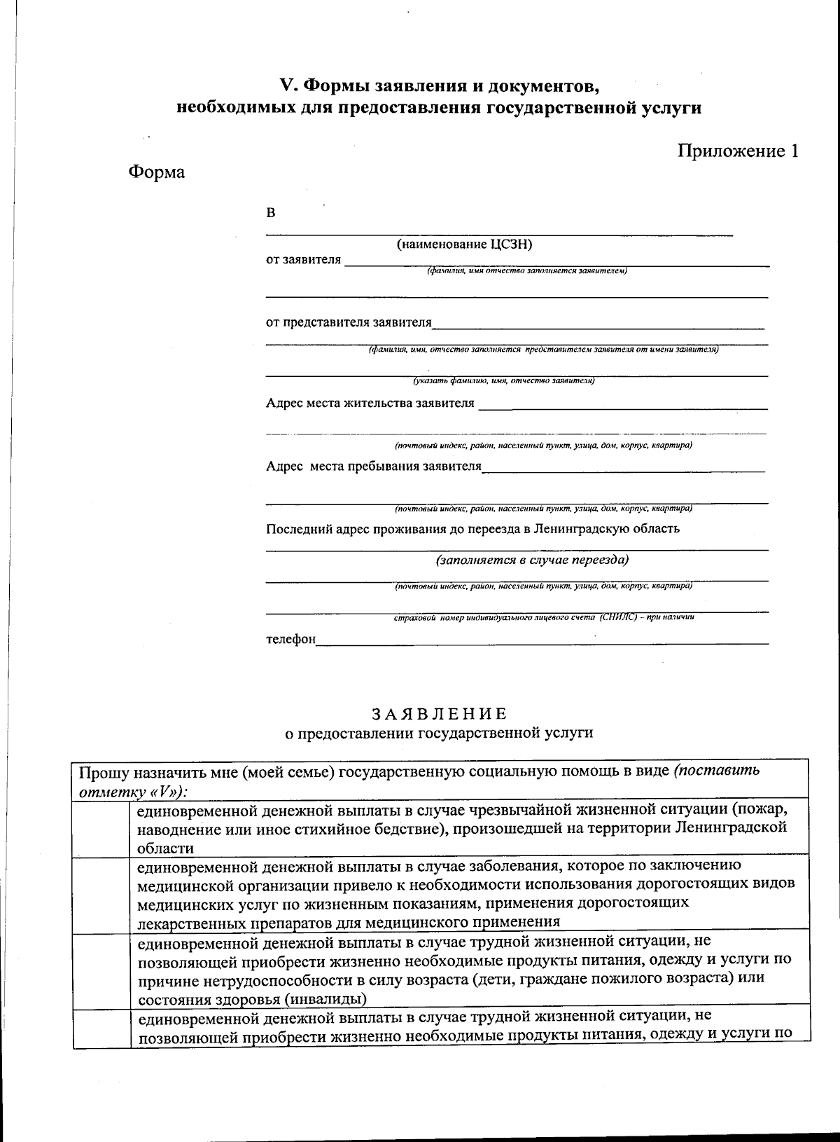
Приказ Комитета по социальной защите населения Ленинградской области от 27.11.2025 № 04-114
"О внесении изменений в отдельные приказы комитета по социальной защите населения Ленинградской области"
(Зарегистрирован 27.11.2025 № 04-114)
Номер опубликования: 4701202512030003
Дата опубликования: 03.12.2025
Страница №79 из 508:
Увеличить