Официальное опубликование правовых актов
ОФИЦИАЛЬНОЕ ОПУБЛИКОВАНИЕ
Приказ Комитета градостроительной политики Ленинградской области от 07.11.2025 № 126
"О внесении изменений в Правила землепользования и застройки муниципального образования Колтушское сельское поселение Всеволожского муниципального района Ленинградской области"
(Зарегистрирован 07.11.2025 № 01-06-126/2025)
Номер опубликования: 4701202511120004
Дата опубликования: 12.11.2025
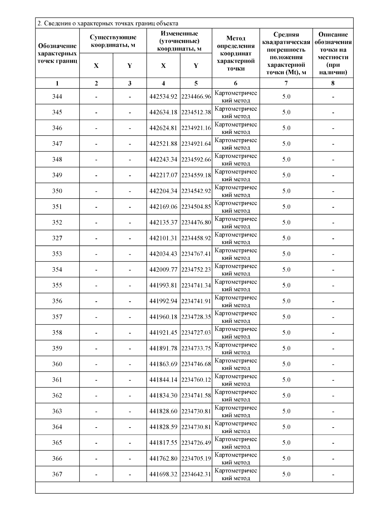
Страница №35 из 66:
Увеличить