Официальное опубликование правовых актов
ОФИЦИАЛЬНОЕ ОПУБЛИКОВАНИЕ
Приказ Комитета по здравоохранению Ленинградской области от 12.09.2025 № 22
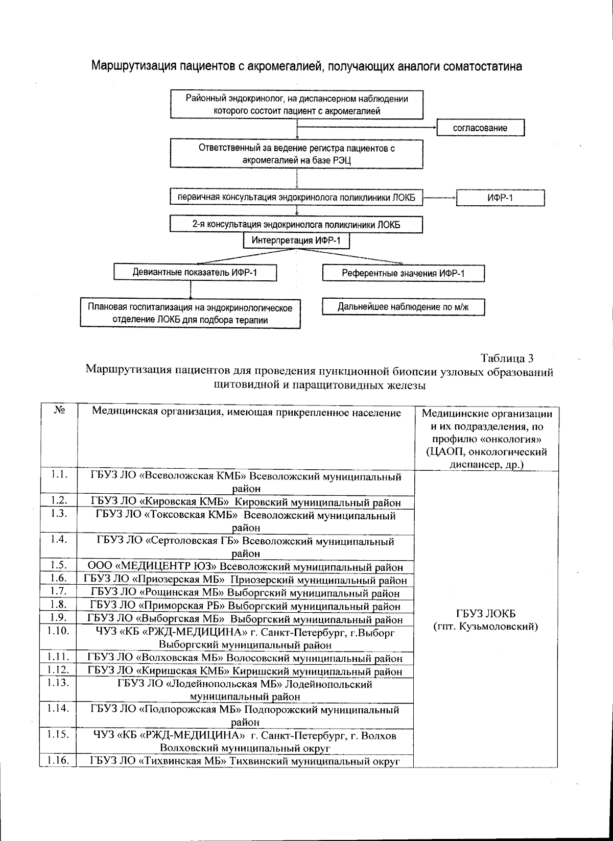
"О единой маршрутизации пациентов Ленинградской области с заболеваниями эндокринной системы, в том числе с сахарным диабетом, включая все этапы наблюдения за пациентами от фельдшерско-акушерского пункта (поликлиники) до федерального учреждения, оказывающего помощь пациентам с эндокринными заболеваниями"
(Зарегистрирован 12.09.2025 № 22)
Номер опубликования: 4701202509120005
Дата опубликования: 12.09.2025
Страница №9 из 86:
Увеличить