Официальное опубликование правовых актов
ОФИЦИАЛЬНОЕ ОПУБЛИКОВАНИЕ
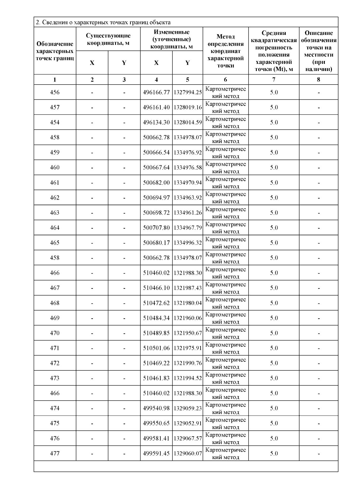
Приказ Комитета градостроительной политики Ленинградской области от 27.06.2025 № 62
"О внесении изменений в правила землепользования и застройки муниципального образования "Красносельское сельское поселение" Выборгского района Ленинградской области"
(Зарегистрирован 27.06.2025 № 01-06-62/2025)
Номер опубликования: 4701202507020007
Дата опубликования: 02.07.2025
Страница №419 из 423:
Увеличить