Официальное опубликование правовых актов
ОФИЦИАЛЬНОЕ ОПУБЛИКОВАНИЕ
Приказ Комитета градостроительной политики Ленинградской области от 30.05.2025 № 51
"О внесении изменений в правила землепользования и застройки Лодейнопольского городского поселения Лодейнопольского муниципального района Ленинградской области"
(Зарегистрирован 30.05.2025 № 01-06-51/2025)
Номер опубликования: 4701202506060011
Дата опубликования: 06.06.2025
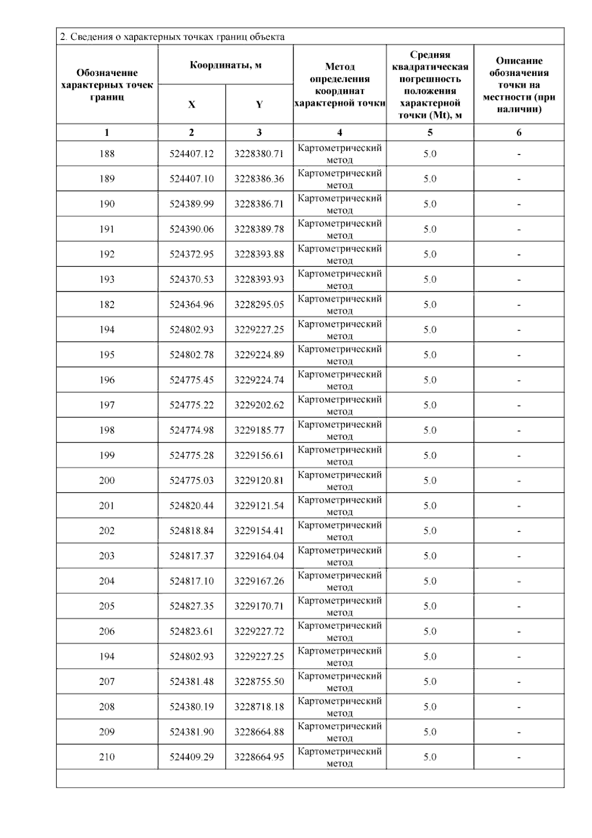
Страница №331 из 1196:
Увеличить