Официальное опубликование правовых актов
ОФИЦИАЛЬНОЕ ОПУБЛИКОВАНИЕ
Приказ Комитета градостроительной политики Ленинградской области от 06.03.2025 № 17
"О внесении изменений в правила землепользования и застройки муниципального образования Староладожское сельское поселение Волховского муниципального района Ленинградской области"
(Зарегистрирован 06.03.2025 № 01-06-17/2025)
Номер опубликования: 4701202503130004
Дата опубликования: 13.03.2025
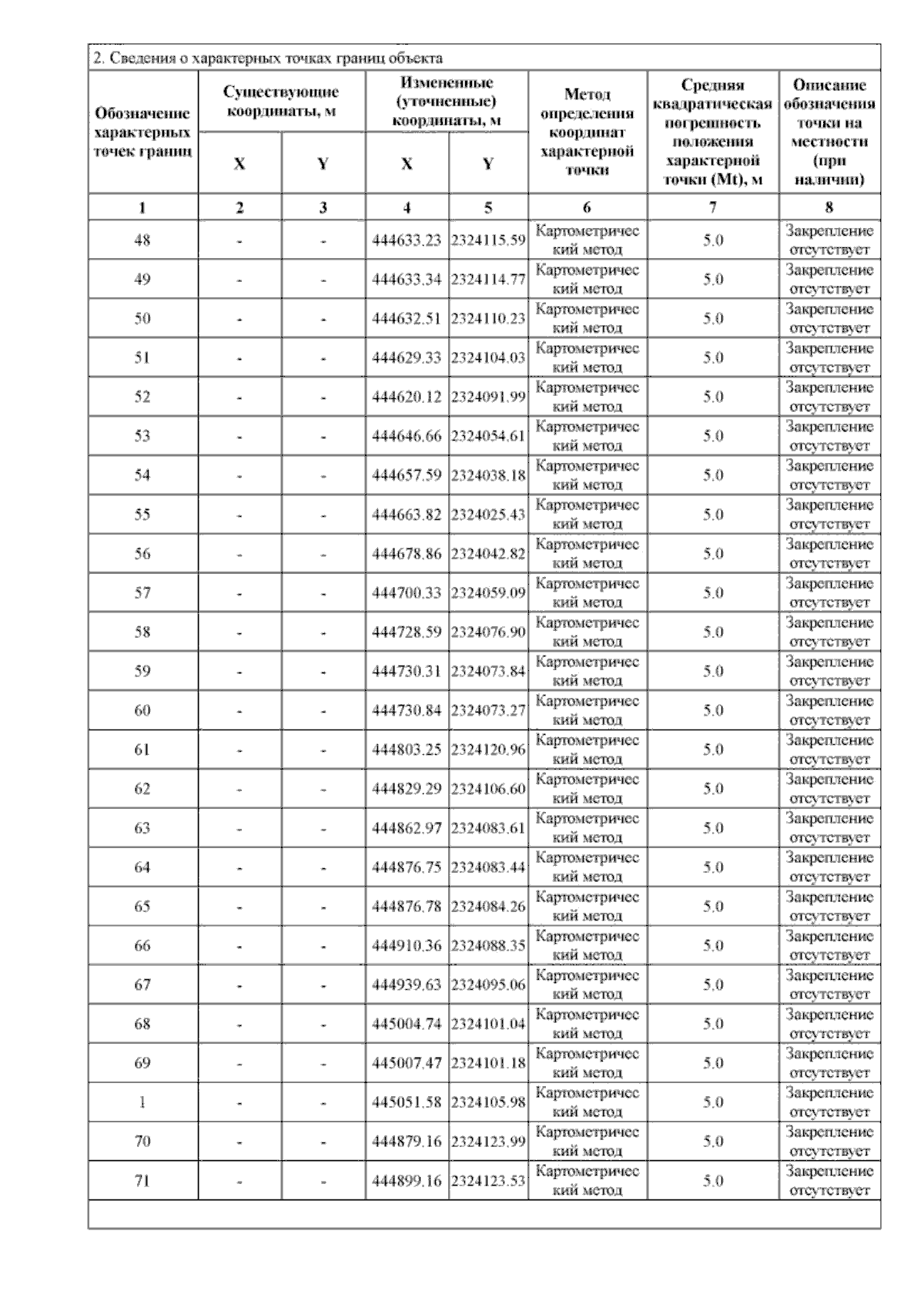
Страница №11 из 17:
Увеличить