Официальное опубликование правовых актов
ОФИЦИАЛЬНОЕ ОПУБЛИКОВАНИЕ
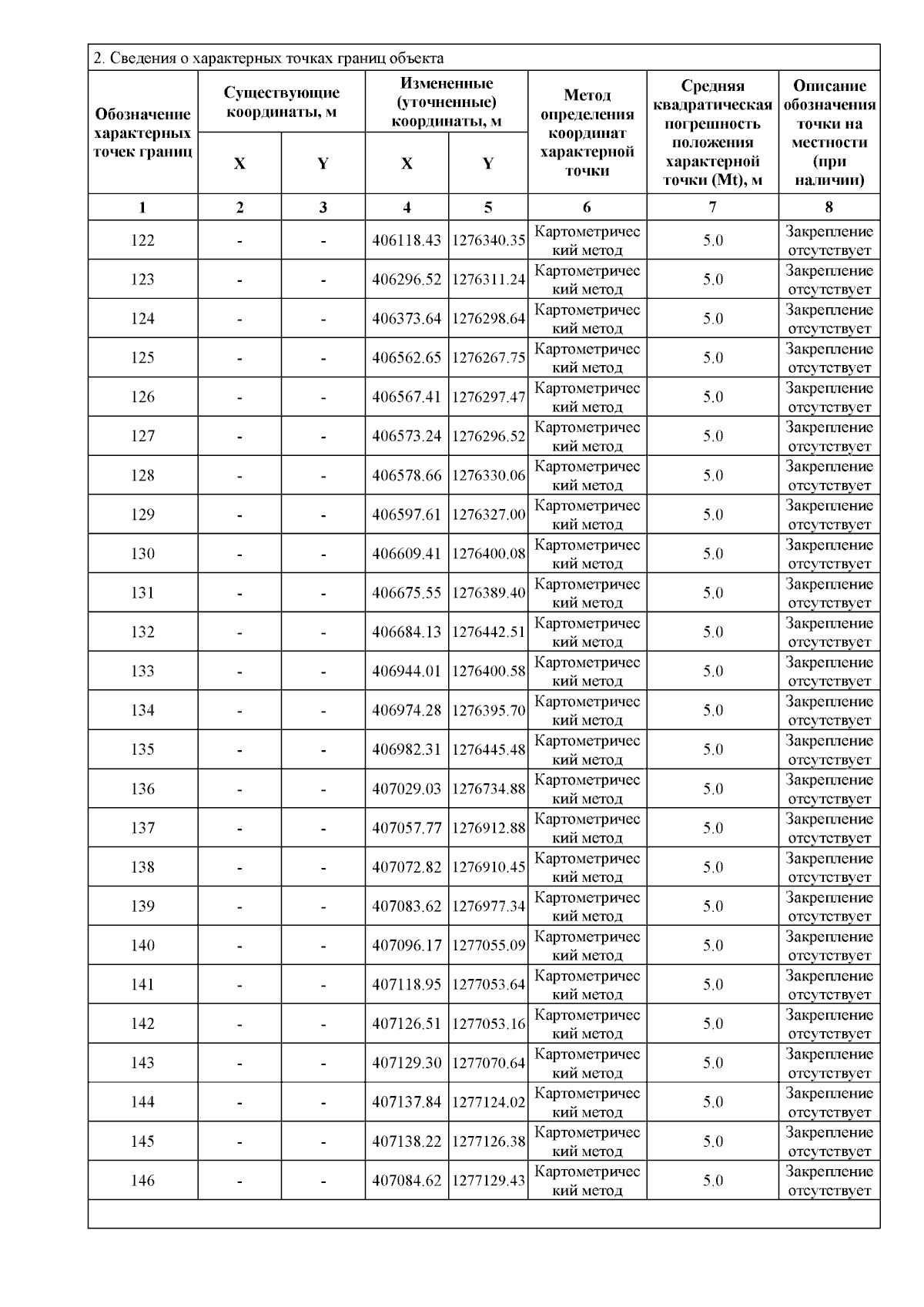
Приказ Комитета градостроительной политики Ленинградской области от 18.02.2025 № 12
"О внесении изменений в правила землепользования и застройки муниципального образования "Усть-Лужское сельское поселение" Кингисеппского муниципального района Ленинградской области"
(Зарегистрирован 18.02.2025 № 01-06-12/2025)
Номер опубликования: 4701202502240010
Дата опубликования: 24.02.2025
Страница №13 из 19:
Увеличить