Официальное опубликование правовых актов
ОФИЦИАЛЬНОЕ ОПУБЛИКОВАНИЕ
Приказ Комитета градостроительной политики Ленинградской области от 14.02.2025 № 11
"Об утверждении правил землепользования и застройки муниципального образования Гатчинский муниципальный округ Ленинградской области применительно к части территории"
(Зарегистрирован 14.02.2025 № 01-06-11/2025)
Номер опубликования: 4701202502200001
Дата опубликования: 20.02.2025
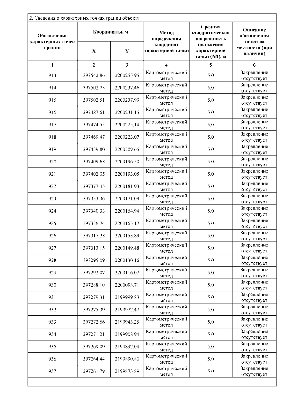
Страница №258 из 1558:
Увеличить