Официальное опубликование правовых актов
ОФИЦИАЛЬНОЕ ОПУБЛИКОВАНИЕ
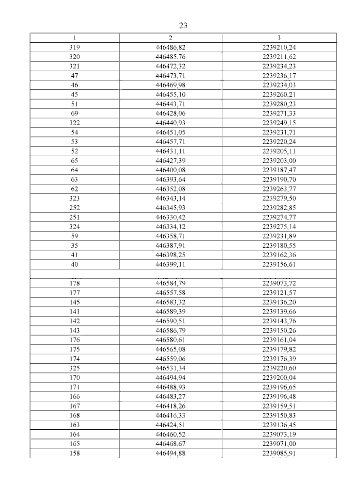
Приказ Комитета градостроительной политики Ленинградской области от 28.12.2024 № 221
"Об утверждении проекта планировки территории и проекта межевания территории жилой застройки в границах поселка Щеглово Щегловского сельского поселения Всеволожского муниципального района Ленинградской области"
(Зарегистрирован 28.12.2024 № 01-06-221/224)
Номер опубликования: 4701202412300003
Дата опубликования: 30.12.2024
Страница №112 из 126:
Увеличить