Официальное опубликование правовых актов
ОФИЦИАЛЬНОЕ ОПУБЛИКОВАНИЕ
Приказ Комитета градостроительной политики Ленинградской области от 14.10.2024 № 166
"О внесении изменений в Правила землепользования и застройки муниципального образования "Бугровское сельское поселение" Всеволожского муниципального района Ленинградской области"
(Зарегистрирован 14.10.2024 № 01-06-166/2024)
Номер опубликования: 4701202410170001
Дата опубликования: 17.10.2024
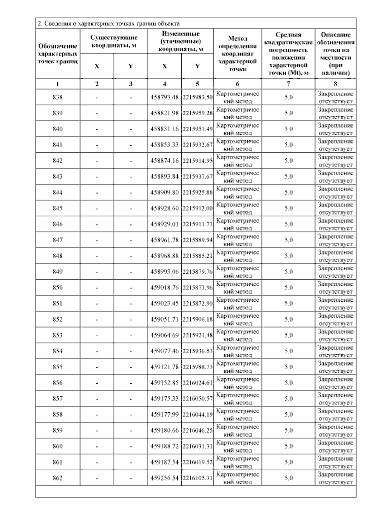
Страница №174 из 187:
Увеличить