Официальное опубликование правовых актов
ОФИЦИАЛЬНОЕ ОПУБЛИКОВАНИЕ
Приказ Комитета градостроительной политики Ленинградской области от 07.10.2024 № 160
"О внесении изменений в правила землепользования и застройки муниципального образования "Город Всеволожск" Всеволожского муниципального района Ленинградской области"
(Зарегистрирован 07.10.2024 № 01-06-160/2024)
Номер опубликования: 4701202410110005
Дата опубликования: 11.10.2024
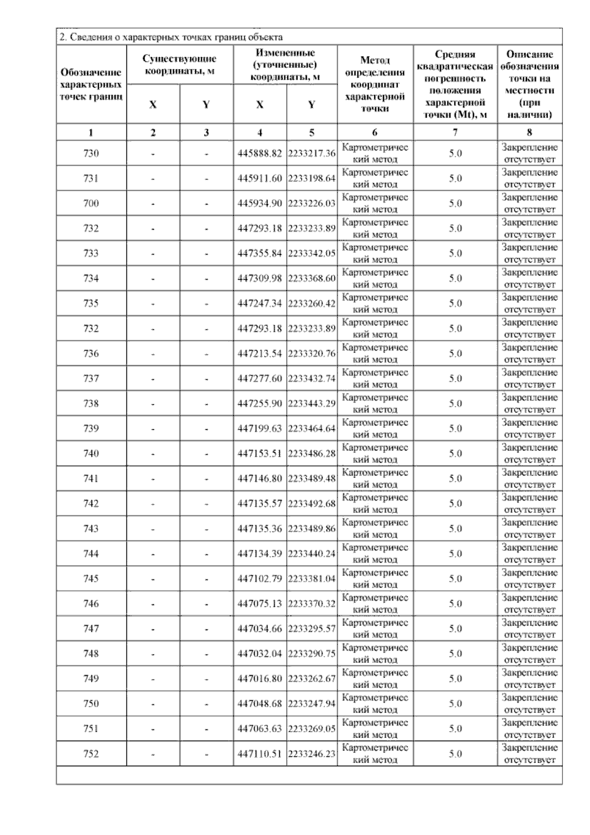
Страница №46 из 54:
Увеличить