Официальное опубликование правовых актов
ОФИЦИАЛЬНОЕ ОПУБЛИКОВАНИЕ
Приказ Комитета градостроительной политики Ленинградской области от 01.10.2024 № 156
"О внесении изменений в Правила землепользования и застройки муниципального образования Сосновоборский городской округ Ленинградской области"
(Зарегистрирован 01.10.2024 № 01-06-156/2024)
Номер опубликования: 4701202410070002
Дата опубликования: 07.10.2024
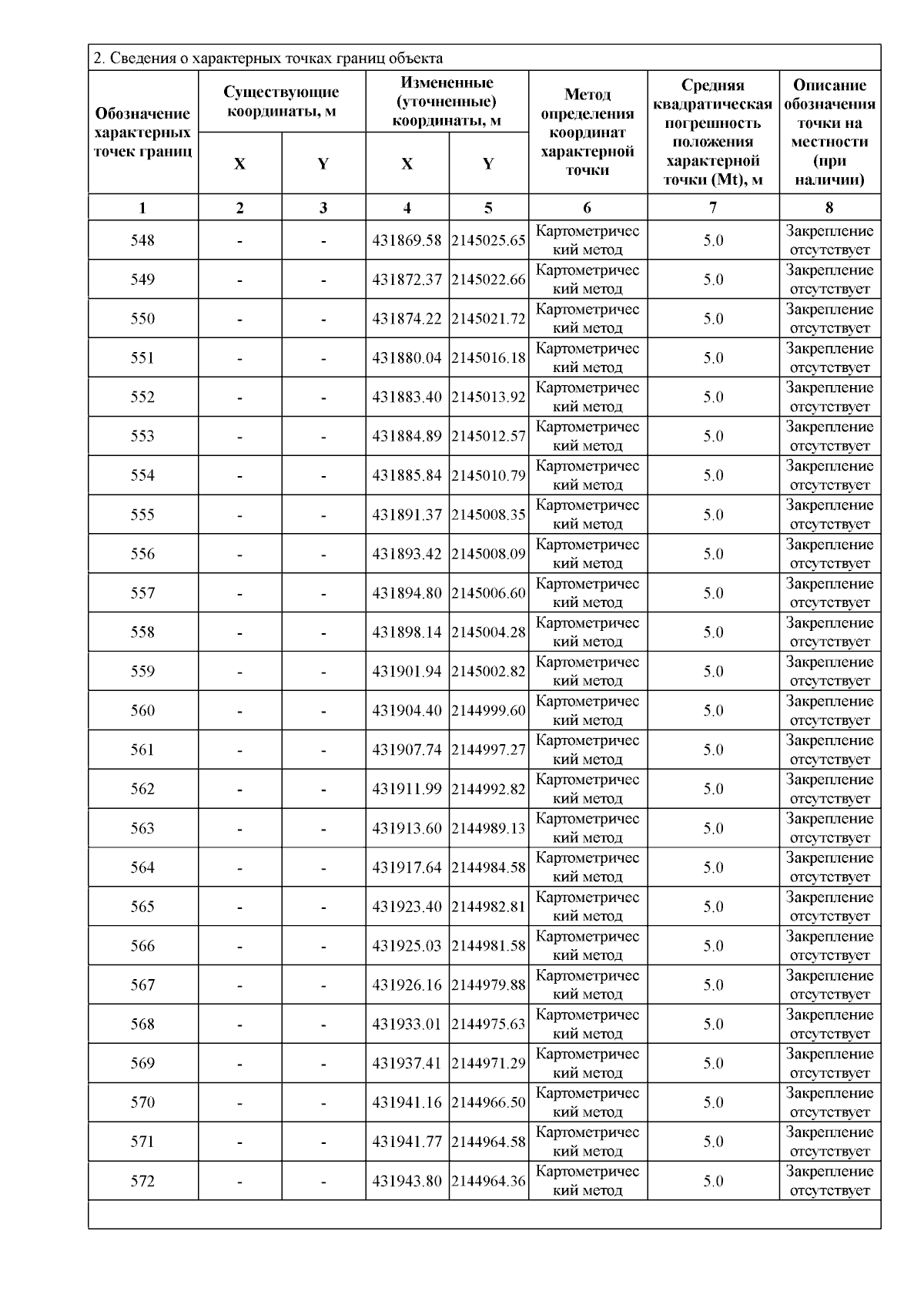
Страница №40 из 1105:
Увеличить