Официальное опубликование правовых актов
ОФИЦИАЛЬНОЕ ОПУБЛИКОВАНИЕ
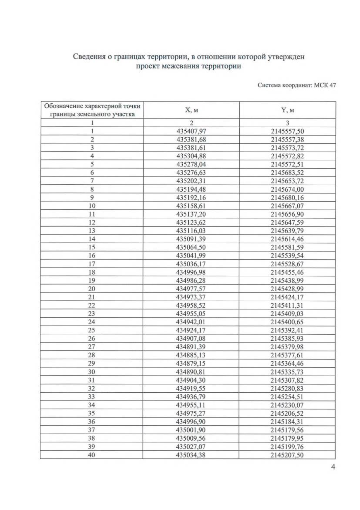
Приказ Комитета градостроительной политики Ленинградской области от 06.09.2024 № 143
"Об утверждении проекта планировки территории и проекта межевания территории с комплексом изысканий в рамках реализации комплексного развития незастроенной территории в кадастровом квартале 47:15:0106006, муниципального образования Сосновоборский городской округ Ленинградской области, ограниченной ул. Академика Александрова, ул. Парковая, ул. Красных Фортов, ул. Коблицкого, площадью 16.5 га"
(Зарегистрирован 06.09.2024 № 01-06-143/2024)
Номер опубликования: 4701202409110002
Дата опубликования: 11.09.2024
Страница №41 из 51:
Увеличить