Приказ Комитета по сохранению культурного наследия Ленинградской области от 26.08.2024 № 01-03/24-87
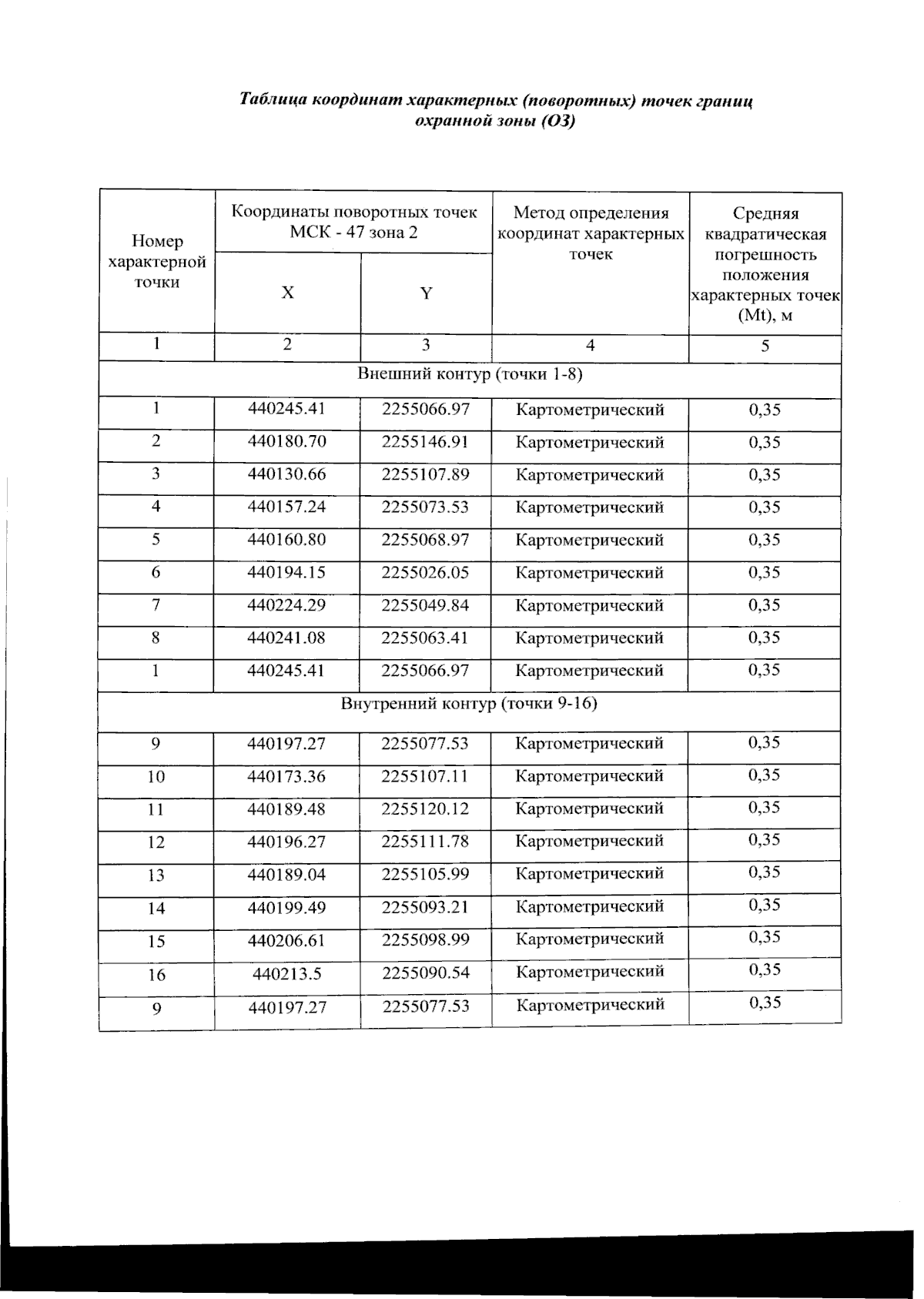
"Об утверждении границ зон охраны объекта культурного наследия регионального значения "Здание, где осенью 1941 г. находился штаб 1-й дивизии войск НКВД, принимавших участие в боях за Ленинград. На здании установлена памятная доска", по адресу: Ленинградская область, Всеволожский район, Морозовское городское поселение, г.п. им. Морозова, ул. Хесина, д. 11, режимов использования земель и требований к градостроительным регламентам в границах данных зон"
(Зарегистрирован 26.08.2024 № КСКН-2024/01-87)
"Об утверждении границ зон охраны объекта культурного наследия регионального значения "Здание, где осенью 1941 г. находился штаб 1-й дивизии войск НКВД, принимавших участие в боях за Ленинград. На здании установлена памятная доска", по адресу: Ленинградская область, Всеволожский район, Морозовское городское поселение, г.п. им. Морозова, ул. Хесина, д. 11, режимов использования земель и требований к градостроительным регламентам в границах данных зон"
(Зарегистрирован 26.08.2024 № КСКН-2024/01-87)
Номер опубликования: 4701202408300001
Дата опубликования:
30.08.2024
