Официальное опубликование правовых актов
ОФИЦИАЛЬНОЕ ОПУБЛИКОВАНИЕ
Приказ Комитета градостроительной политики Ленинградской области от 17.05.2024 № 78
"О внесении изменений в Правила землепользования и застройки территории города Новая Ладога муниципального образования Новоладожское городское поселение Волховского муниципального района Ленинградской области"
(Зарегистрирован 17.05.2024 № 01-06-78/2024)
Номер опубликования: 4701202405230001
Дата опубликования: 23.05.2024
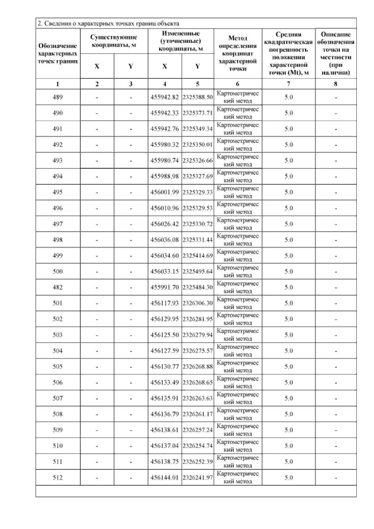
Страница №29 из 368:
Увеличить