Официальное опубликование правовых актов
ОФИЦИАЛЬНОЕ ОПУБЛИКОВАНИЕ
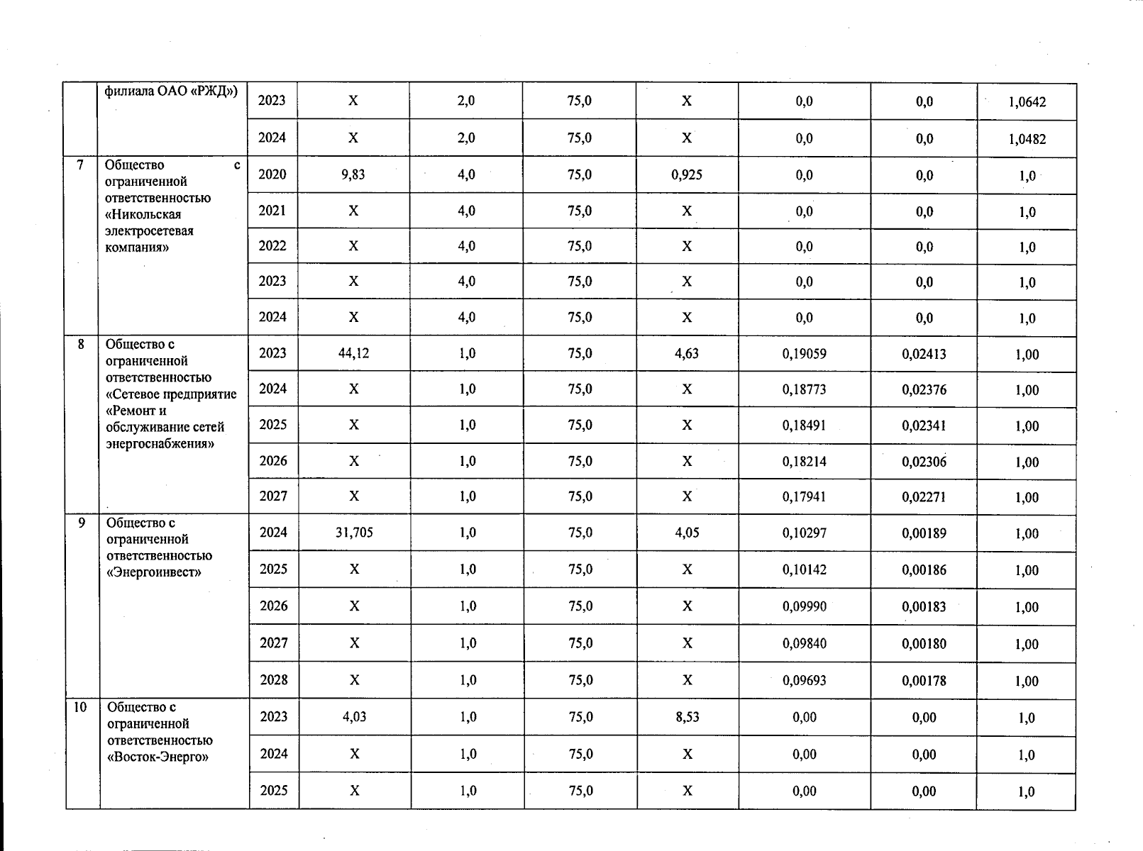
Приказ Комитета по тарифам и ценовой политике Ленинградской области от 28.12.2023 № 565-п
"Об установлении тарифов на услуги по передаче электрической энергии по сетям Ленинградской области и сбытовых надбавок гарантирующих поставщиков на 2024 год"
(Зарегистрирован 28.12.2023 № 565-п)
Номер опубликования: 4701202312290062
Дата опубликования: 29.12.2023
Страница №30 из 37:
Увеличить