Официальное опубликование правовых актов
ОФИЦИАЛЬНОЕ ОПУБЛИКОВАНИЕ
Приказ Комитета по природным ресурсам Ленинградской области от 29.11.2023 № 26
"О внесении изменений в приказ комитета по природным ресурсам Ленинградской области от 26.11.2018 года № 29 "Об утверждении лесохозяйственного регламента Сланцевского лесничества Ленинградской области"
(Зарегистрирован 29.11.2023 № 26)
Номер опубликования: 4701202312060010
Дата опубликования: 06.12.2023
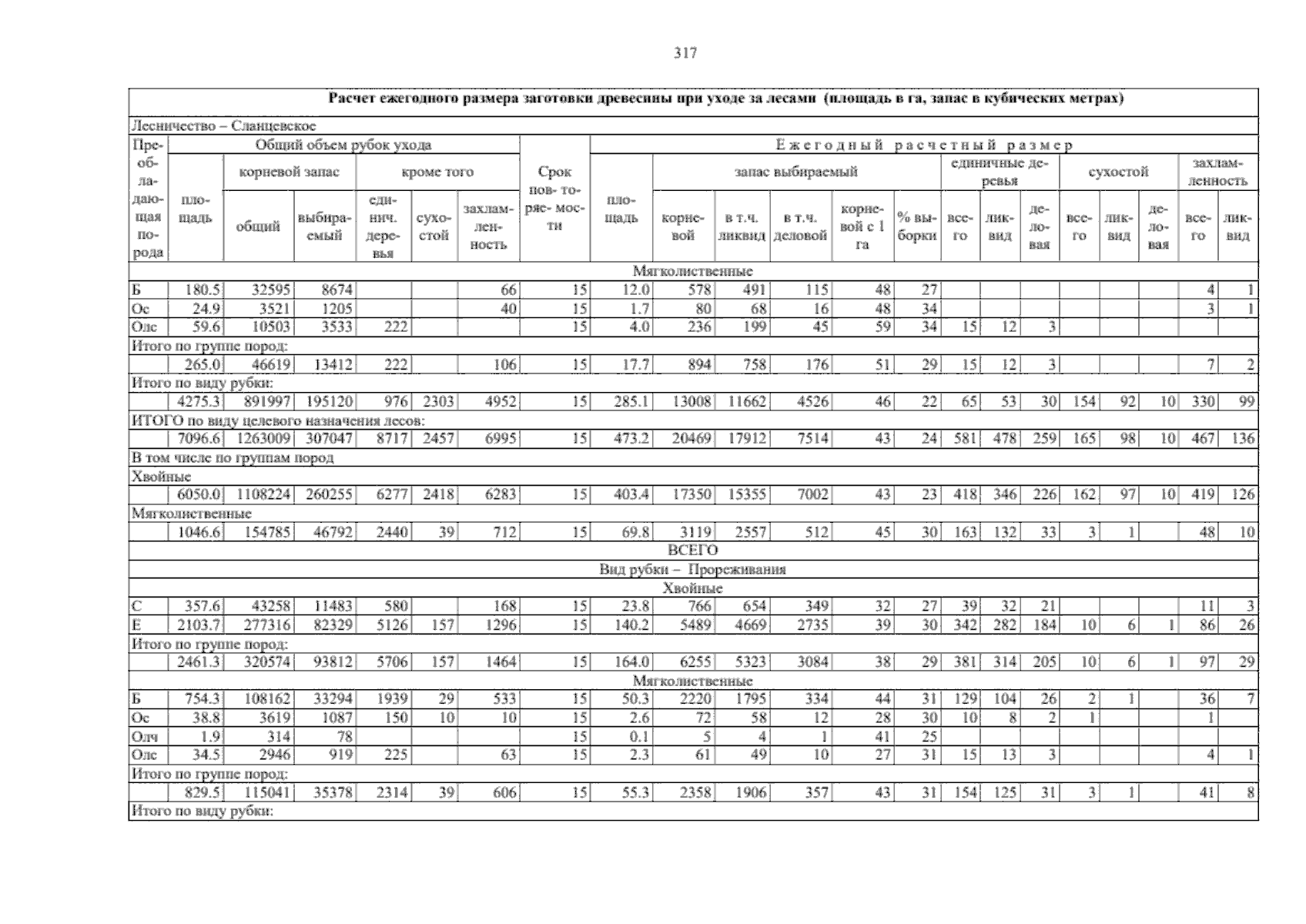
Страница №317 из 339:
Увеличить