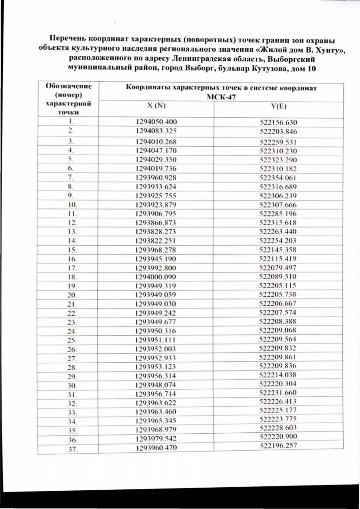
Приказ Комитета по сохранению культурного наследия Ленинградской области от 23.11.2023 № 01-03/23-244
"Об утверждении границ зон охраны объекта культурного наследия регионального значения "Жилой дом В. Хунту", расположенного по адресу: Ленинградская область, Выборгский муниципальный район, город Выборг, бульвар Кутузова, дом 10, режимов использования земель и требований к градостроительным регламентам в границах данных зон"
(Зарегистрирован 23.11.2023 № КСКН-2023/01-244)
"Об утверждении границ зон охраны объекта культурного наследия регионального значения "Жилой дом В. Хунту", расположенного по адресу: Ленинградская область, Выборгский муниципальный район, город Выборг, бульвар Кутузова, дом 10, режимов использования земель и требований к градостроительным регламентам в границах данных зон"
(Зарегистрирован 23.11.2023 № КСКН-2023/01-244)
Номер опубликования: 4701202311280020
Дата опубликования:
28.11.2023
