Приказ Комитета по сохранению культурного наследия Ленинградской области от 23.11.2023 № 01-03/23-243
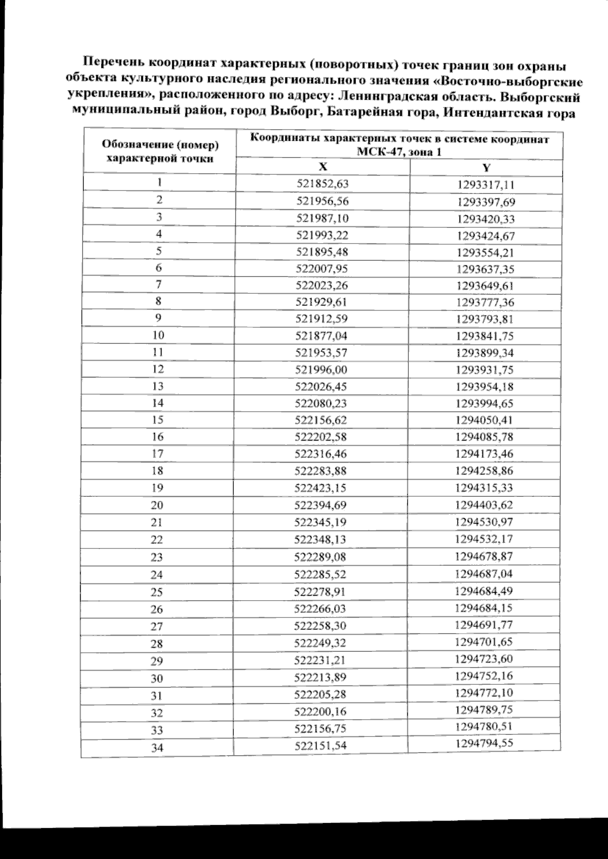
"Об утверждении границ зон охраны объекта культурного наследия регионального значения "Восточно-выборгские укрепления", расположенного по адресу: Ленинградская область. Выборгский муниципальный район, город Выборг, Батарейная гора, Интендантская гора, режимов использования земель и требований к градостроительным регламентам в границах данных зон"
(Зарегистрирован 23.11.2023 № КСКН-2023/01-243)
"Об утверждении границ зон охраны объекта культурного наследия регионального значения "Восточно-выборгские укрепления", расположенного по адресу: Ленинградская область. Выборгский муниципальный район, город Выборг, Батарейная гора, Интендантская гора, режимов использования земель и требований к градостроительным регламентам в границах данных зон"
(Зарегистрирован 23.11.2023 № КСКН-2023/01-243)
Номер опубликования: 4701202311280006
Дата опубликования:
28.11.2023
