Официальное опубликование правовых актов
ОФИЦИАЛЬНОЕ ОПУБЛИКОВАНИЕ
Приказ Комитета градостроительной политики Ленинградской области от 17.11.2023 № 167
"О внесении изменений в Правила землепользования и застройки частей территорий, входящих в состав муниципального образования "Селезнёвское сельское поселение" Выборгского района Ленинградской области"
(Зарегистрирован 17.11.2023 № 01-06/167 )
Номер опубликования: 4701202311220011
Дата опубликования: 22.11.2023
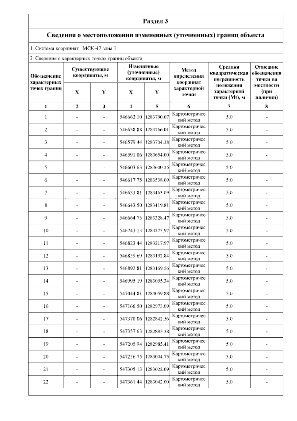
Страница №7 из 19:
Увеличить