Официальное опубликование правовых актов
ОФИЦИАЛЬНОЕ ОПУБЛИКОВАНИЕ
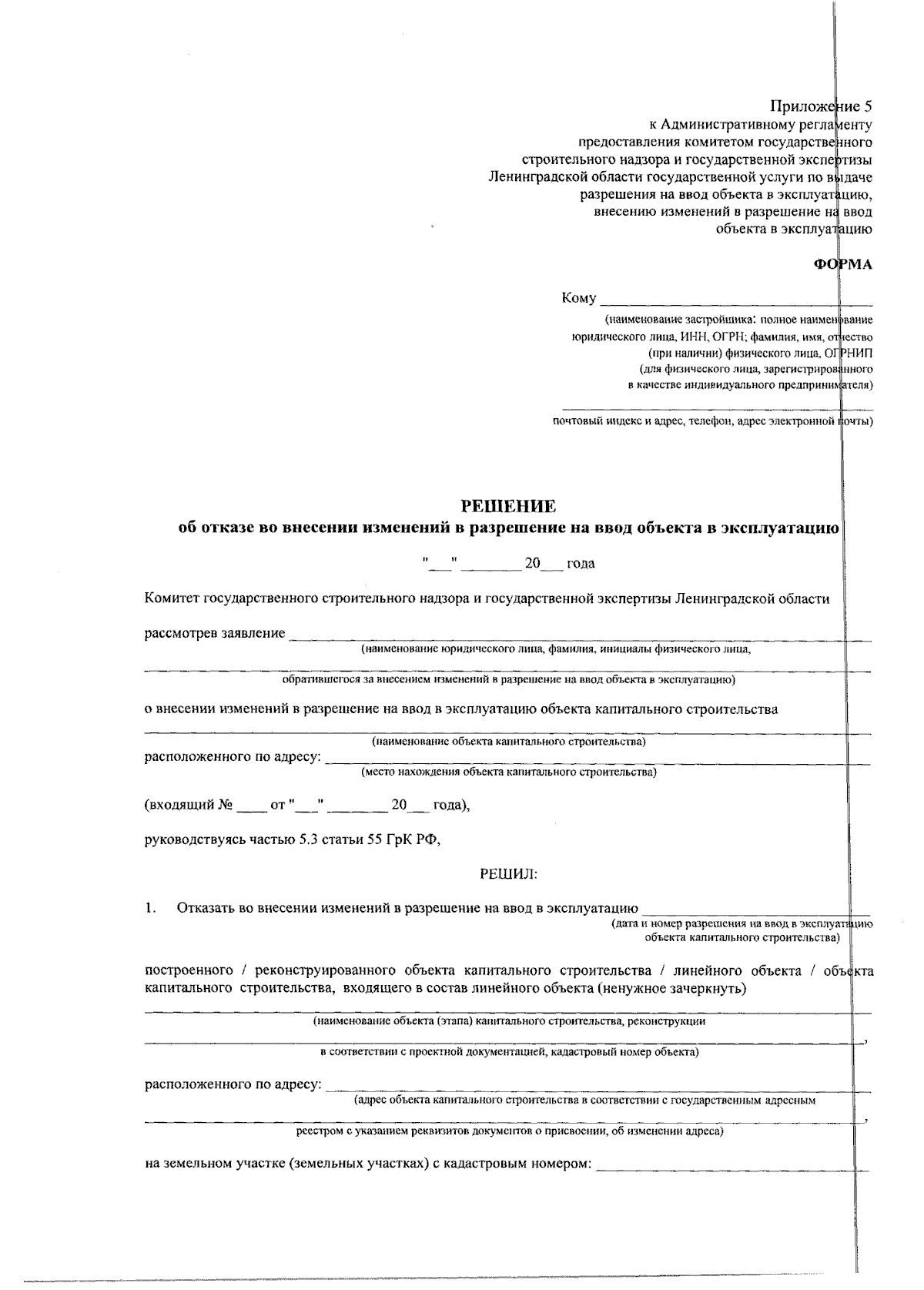
Приказ Комитета государственного строительного надзора и государственной экспертизы Ленинградской области от 31.08.2023 № 4
"об утверждении новой редакции административного регламента предоставления комитетом государственного строительного надзора и государственной экспертизы Ленинградской области государственной услуги по выдаче разрешения на ввод объекта в эксплуатацию, внесению изменений в разрешение на ввод объекта в эксплуатацию"
(Зарегистрирован 31.08.2023 № 4)
Номер опубликования: 4701202309060002
Дата опубликования: 06.09.2023
Страница №56 из 60:
Увеличить