Официальное опубликование правовых актов
ОФИЦИАЛЬНОЕ ОПУБЛИКОВАНИЕ
Приказ Комитета финансов Ленинградской области от 15.08.2023 № 18-02/05-25
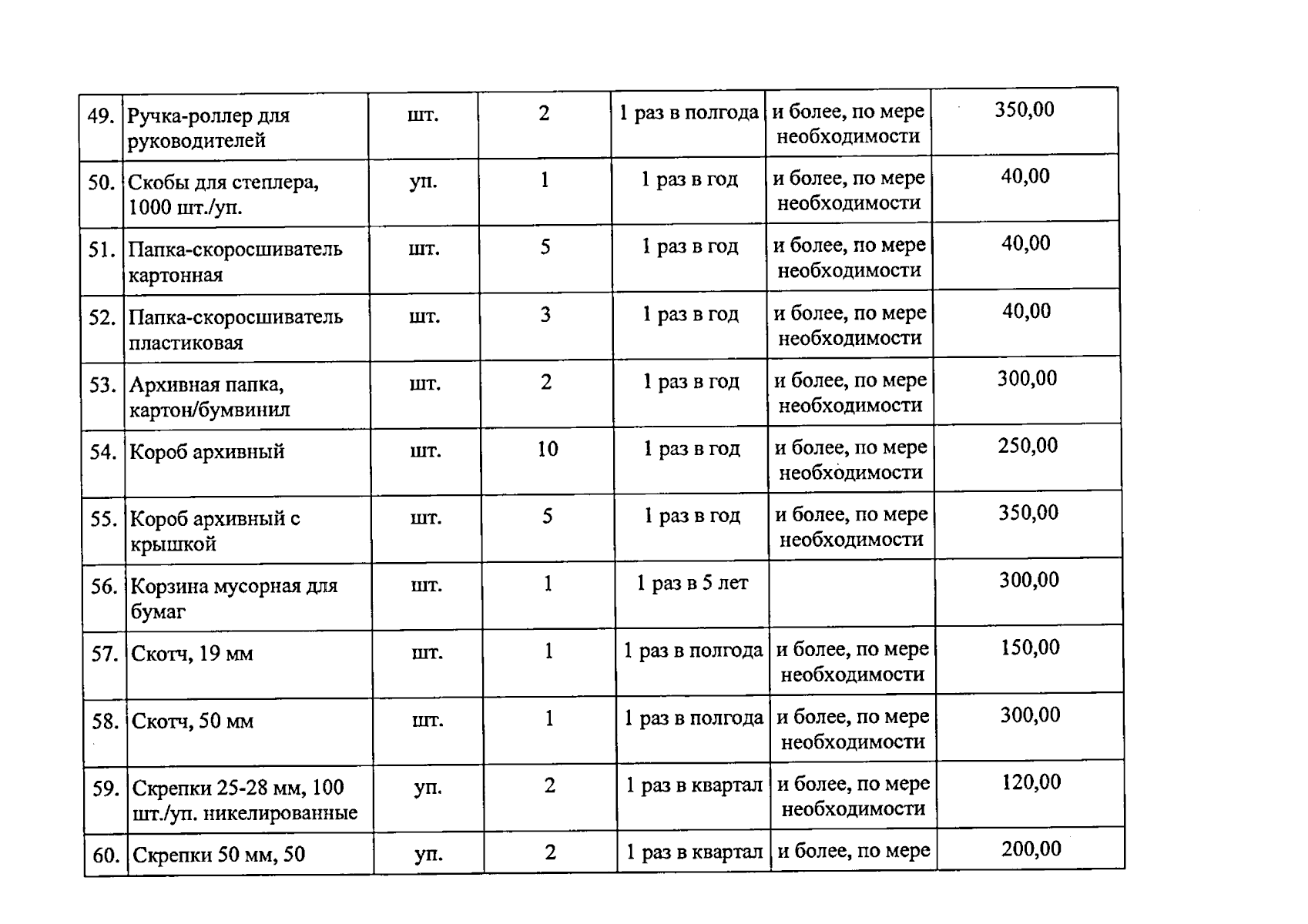
"ОБ УТВЕРЖДЕНИИ НОРМАТИВНЫХ ЗАТРАТ НА ОБЕСПЕЧЕНИЕ ФУНКЦИЙ ПОДВЕДОМСТВЕННОГО КОМИТЕТУ ФИНАНСОВ ЛЕНИНГРАДСКОЙ ОБЛАСТИ ГОСУДАРСТВЕННОГО КАЗЕННОГО УЧРЕЖДЕНИЯ В ЧАСТИ ЗАКУПОК ТОВАРОВ, РАБОТ, УСЛУГ"
(Зарегистрирован 15.08.2023 № 18-02/05-25)
Номер опубликования: 4701202308160003
Дата опубликования: 16.08.2023
Страница №10 из 17:
Увеличить