Официальное опубликование правовых актов
ОФИЦИАЛЬНОЕ ОПУБЛИКОВАНИЕ
Приказ Комитета градостроительной политики Ленинградской области от 27.07.2023 № 113
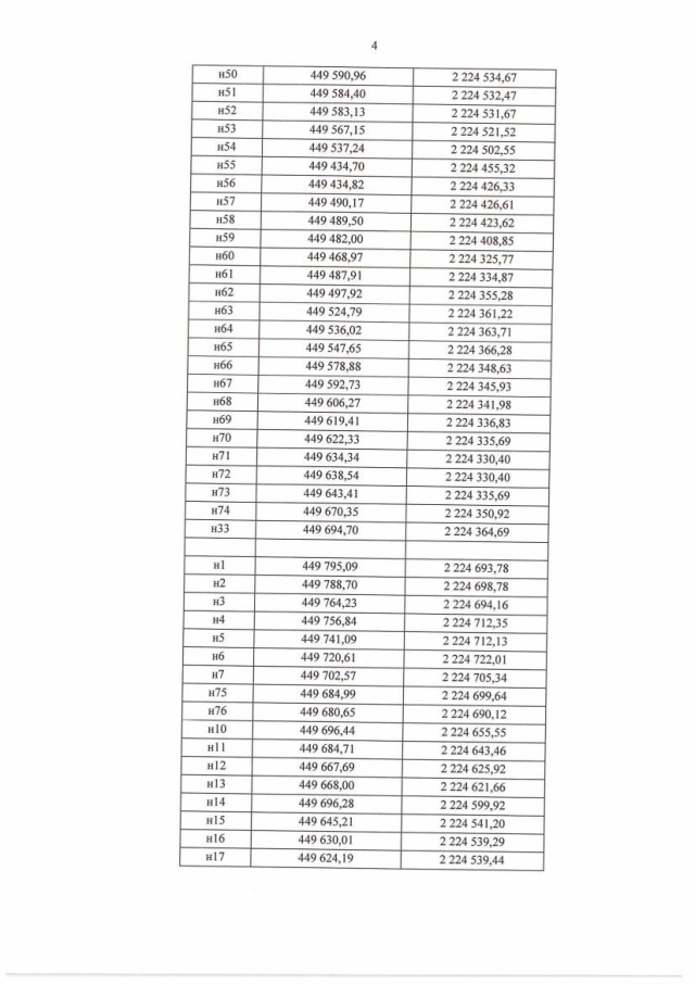
"Об утверждении проекта планировки территории и проекта межевания территории, включающей земельные участки с кадастровыми номерами 47:07:0711004:234, 47:07:0711004:69, расположенные по адресу: Ленинградская область, Всеволожский муниципальный район, Новодевяткинское сельское поселение, д. Новое Девяткино"
(Зарегистрирован 27.07.2023 № 01-06/113)
Номер опубликования: 4701202307310002
Дата опубликования: 31.07.2023
Страница №6 из 27:
Увеличить