Официальное опубликование правовых актов
ОФИЦИАЛЬНОЕ ОПУБЛИКОВАНИЕ
Приказ Комитета градостроительной политики Ленинградской области от 13.07.2023 № 108
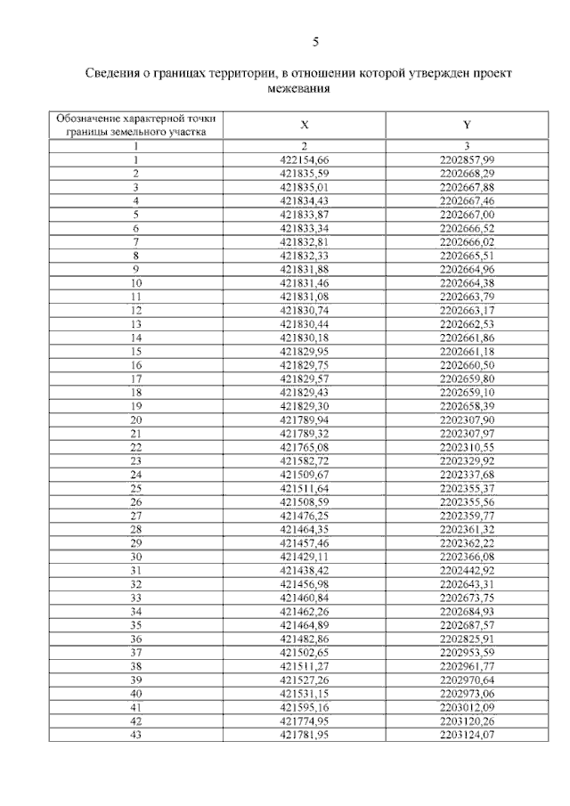
"Об утверждении проекта планировки территории и проекта межевания территории, ограниченной проектируемыми улицами Невская, Малая Балтийская, Парадная, Петропавловская в г.п. Новоселье Аннинского городского поселения Ломоносовского муниципального района Ленинградской области"
(Зарегистрирован 13.07.2023 № 01-06/108)
Номер опубликования: 4701202307150008
Дата опубликования: 15.07.2023
Страница №42 из 55:
Увеличить