Официальное опубликование правовых актов
ОФИЦИАЛЬНОЕ ОПУБЛИКОВАНИЕ
Приказ Комитета градостроительной политики Ленинградской области от 12.07.2023 № 106
"О внесении изменений в правила землепользования и застройки муниципального образования "Усть-Лужское сельское поселение" Кингисеппского муниципального района Ленинградской области и признании утратившим силу приказа Комитета градостроительной политики Ленинградской области от 07 июня 2023 года № 80"
(Зарегистрирован 12.07.2023 № 01-06/106)
Номер опубликования: 4701202307150001
Дата опубликования: 15.07.2023
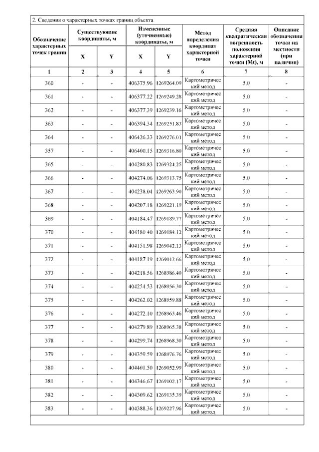
Страница №42 из 83:
Увеличить