Официальное опубликование правовых актов
ОФИЦИАЛЬНОЕ ОПУБЛИКОВАНИЕ
Приказ Комитета градостроительной политики Ленинградской области от 03.07.2023 № 99
"Об утверждении правил землепользования и застройки муниципального образования "Подпорожское городское поселение Подпорожского муниципального района Ленинградской области"
(Зарегистрирован 03.07.2023 № 01-06/99)
Номер опубликования: 4701202307120001
Дата опубликования: 12.07.2023
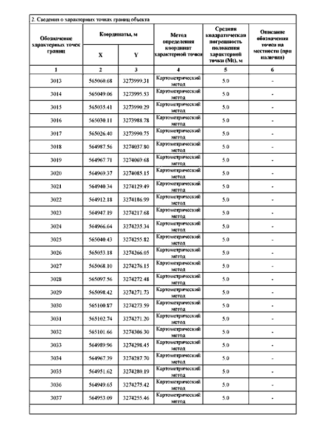
Страница №210 из 2504:
Увеличить