Официальное опубликование правовых актов
ОФИЦИАЛЬНОЕ ОПУБЛИКОВАНИЕ
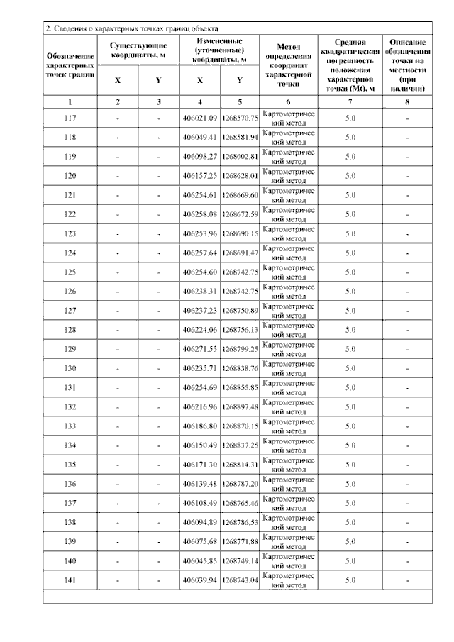
Приказ Комитета градостроительной политики Ленинградской области от 07.06.2023 № 80
"О внесении изменений в правила землепользования и застройки муниципального образования "Усть-Лужское сельское поселение" Кингисеппского муниципального района Ленинградской области"
(Зарегистрирован 07.06.2023 № 01-06-80/23)
Номер опубликования: 4701202306130001
Дата опубликования: 13.06.2023
Страница №13 из 83:
Увеличить