Официальное опубликование правовых актов
ОФИЦИАЛЬНОЕ ОПУБЛИКОВАНИЕ
Приказ Комитета градостроительной политики Ленинградской области от 24.05.2023 № 73
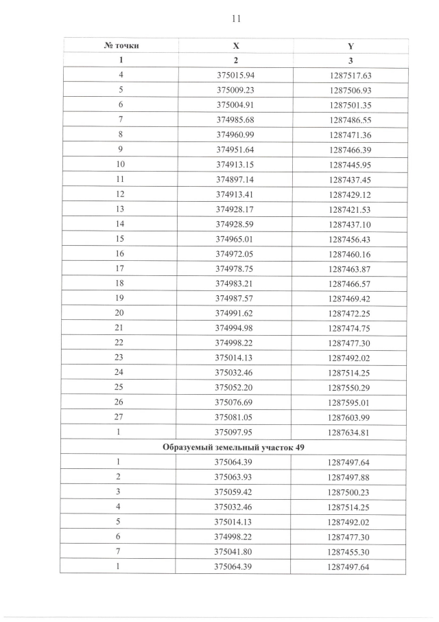
"О внесении изменений в проект планировки территории и проект межевания территории, включающей микрорайон № 7 г. Кингисеппа Кингисеппского муниципального района Ленинградской области, утвержденные приказом Комитета градостроительной политики Ленинградской области от 25.03.2022 № 27 (с изменениями, внесенными приказом Комитета градостроительной политики Ленинградской области от 23.08.2022 № 120)"
(Зарегистрирован 24.05.2023 № 01-06-73/23)
Номер опубликования: 4701202305260001
Дата опубликования: 26.05.2023
Страница №51 из 52:
Увеличить