Официальное опубликование правовых актов
ОФИЦИАЛЬНОЕ ОПУБЛИКОВАНИЕ
Приказ Комитета градостроительной политики Ленинградской области от 21.04.2023 № 58
"О внесении изменений в правила землепользования и застройки муниципального образования город Волхов Волховского муниципального района Ленинградской области"
(Зарегистрирован 21.04.2023 № 01-06-58/23)
Номер опубликования: 4701202304270017
Дата опубликования: 27.04.2023
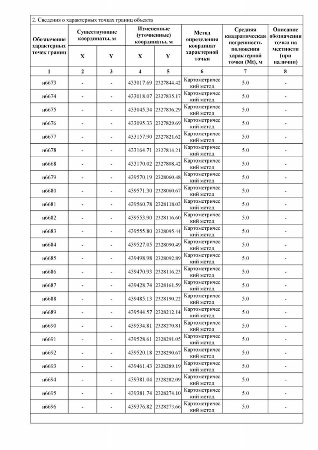
Страница №532 из 905:
Увеличить