Официальное опубликование правовых актов
ОФИЦИАЛЬНОЕ ОПУБЛИКОВАНИЕ
Приказ Комитета градостроительной политики Ленинградской области от 25.04.2023 № 62
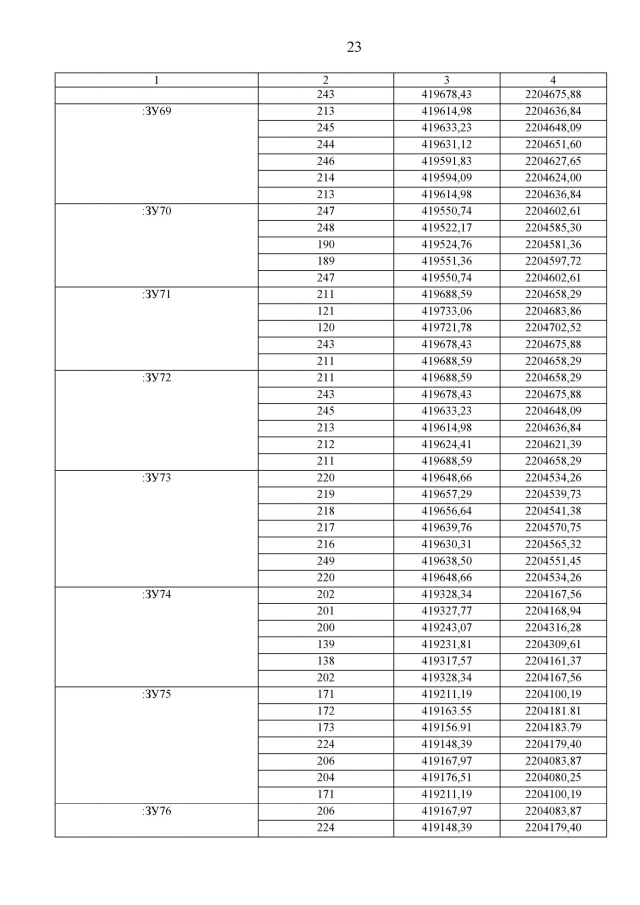
"Об утверждении проекта планировки территории и проекта межевания территории, включающей земельные участки с кадастровыми номерами 47:14:0603001:31, 47:14:0603001:34, 47:14:0603001:43, 47:14:0603001:45, 47:14:0603001:46, 47:14:0603001:101, 47:14:0603001:102, 47:14:0603001:103, 47:14:0603001:164, 47:14:0603001:165, 47:14:0603001:166, 47:14:0603001:5028, 47:14:0603001:5029, 47:14:0603001:6980, 47:14:0603001:6981, 47:14:0603001:6982, 47:14:0603001:6983, 47:14:0603001:6984, 47:14:0603001:6985, и расположенной в пос. Новогорелово Виллозского городского поселения Ломоносовского муниципального района Ленинградской области"
(Зарегистрирован 25.04.2023 № 01-06-62/23)
Номер опубликования: 4701202304270016
Дата опубликования: 27.04.2023
Страница №66 из 81:
Увеличить