Официальное опубликование правовых актов
ОФИЦИАЛЬНОЕ ОПУБЛИКОВАНИЕ
Приказ Комитета градостроительной политики Ленинградской области от 25.04.2023 № 61
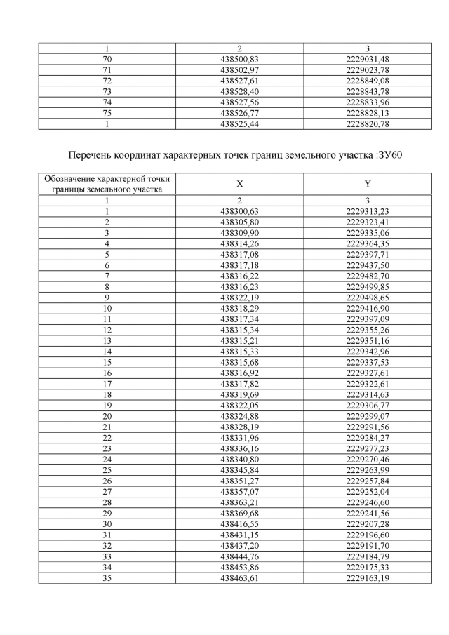
"Об утверждении проекта планировки территории и проекта межевания территории, расположенной в западной части дер. Янино-1 муниципального образования Заневское городское поселение Всеволожского муниципального района Ленинградской области и ограниченной с запада – земельным участком с кадастровым номером 47:07:1039001:269, с севера – территорией МЖК "Янино-1", с востока – Голландской улицей, с юга - границей земельного участка с к.н. 47:07:1039001:2180"
(Зарегистрирован 25.04.2023 № 01-06-61/23)
Номер опубликования: 4701202304270008
Дата опубликования: 27.04.2023
Страница №104 из 117:
Увеличить