Официальное опубликование правовых актов
ОФИЦИАЛЬНОЕ ОПУБЛИКОВАНИЕ
Приказ Комитета градостроительной политики Ленинградской области от 19.04.2023 № 57
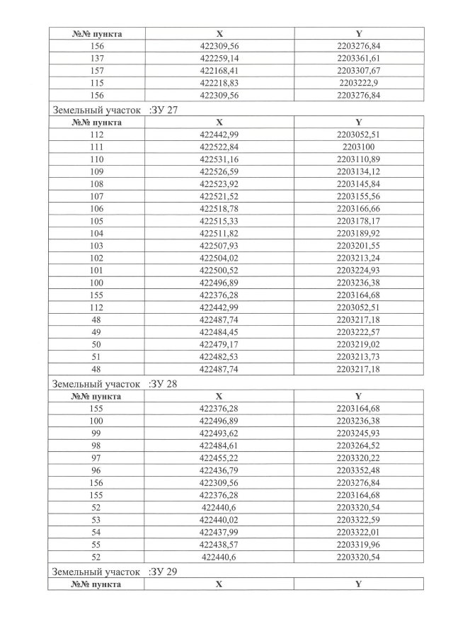
"Об утверждении проекта планировки территории и проекта межевания территории, ограниченной проектируемыми улицами Ленинградская, Гостинная, Малая Балтийская, Невская в г.п. Новоселье Аннинского городского поселения Ломоносовского муниципального района Ленинградской области"
(Зарегистрирован 19.04.2023 № 01-06-57/23)
Номер опубликования: 4701202304210004
Дата опубликования: 21.04.2023
Страница №43 из 52:
Увеличить