Официальное опубликование правовых актов
ОФИЦИАЛЬНОЕ ОПУБЛИКОВАНИЕ
Приказ Комитета по сохранению культурного наследия Ленинградской области от 10.04.2023 № 01-03/23-150
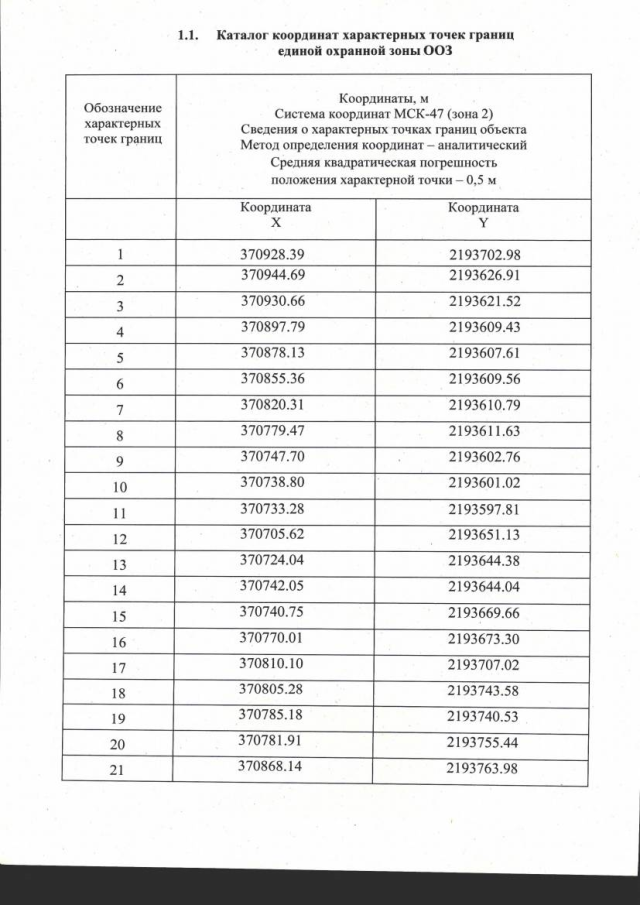
"Об установлении границ объединенной зоны охраны объекта культурного наследия федерального значения "Здание почтовой станции, где останавливался Пушкин Александр Сергеевич, 1839-1841 гг.", расположенного по адресу: Ленинградская область, Гатчинский район, деревня Выра, д. 32а; объекта культурного наследия федерального значения "Дом для проезжающих, 1836-1841 гг.", расположенного по адресу: Ленинградская область, Гатчинский район, деревня Выра, Большой пр., д. 32-А/2, и об утверждении требований к градостроительным регламентам в границах территорий данной зоны"
(Зарегистрирован 10.04.2023 № КСКН-2023/01-150)
Номер опубликования: 4701202304170001
Дата опубликования: 17.04.2023
Страница №11 из 32:
Увеличить