Официальное опубликование правовых актов
ОФИЦИАЛЬНОЕ ОПУБЛИКОВАНИЕ
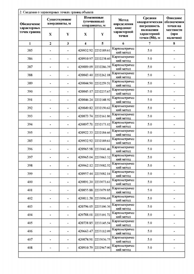
Приказ Комитета градостроительной политики Ленинградской области от 06.04.2023 № 54
"О внесении изменений в правила землепользования и застройки муниципального образования "Свердловское городское поселение" Всеволожского муниципального района Ленинградской области"
(Зарегистрирован 06.04.2023 № 01-06-54/23)
Номер опубликования: 4701202304100007
Дата опубликования: 10.04.2023
Страница №22 из 70:
Увеличить