Официальное опубликование правовых актов
ОФИЦИАЛЬНОЕ ОПУБЛИКОВАНИЕ
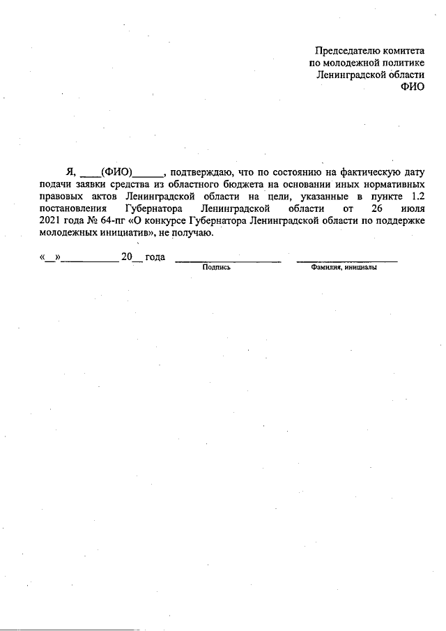
Приказ Комитета по молодежной политике Ленинградской области от 03.04.2023 № О-5/2023
"О внесении изменения в приказ комитета по молодежной политике Ленинградской области от 28 октября 2022 года № О-14/2022 "О реализации постановления Губернатора Ленинградской области от 26 июля 2021 года № 64-пг "О конкурсе Губернатора Ленинградской области по поддержке молодежных инициатив"
(Зарегистрирован 03.04.2023 № 5)
Номер опубликования: 4701202304050007
Дата опубликования: 05.04.2023
Страница №12 из 14:
Увеличить