Официальное опубликование правовых актов
ОФИЦИАЛЬНОЕ ОПУБЛИКОВАНИЕ
Приказ Комитета градостроительной политики Ленинградской области от 31.03.2023 № 52
"О внесении изменений в Правила землепользования и застройки муниципального образования "Вистинское сельское поселение" муниципального образования "Кингисеппский муниципальный район" Ленинградской области"
(Зарегистрирован 31.03.2023 № 01-06-52/23)
Номер опубликования: 4701202304050003
Дата опубликования: 05.04.2023
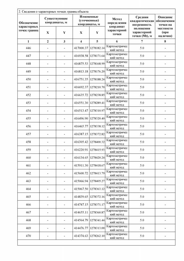
Страница №28 из 90:
Увеличить