Официальное опубликование правовых актов
ОФИЦИАЛЬНОЕ ОПУБЛИКОВАНИЕ
Приказ Комитета градостроительной политики Ленинградской области от 14.03.2023 № 41
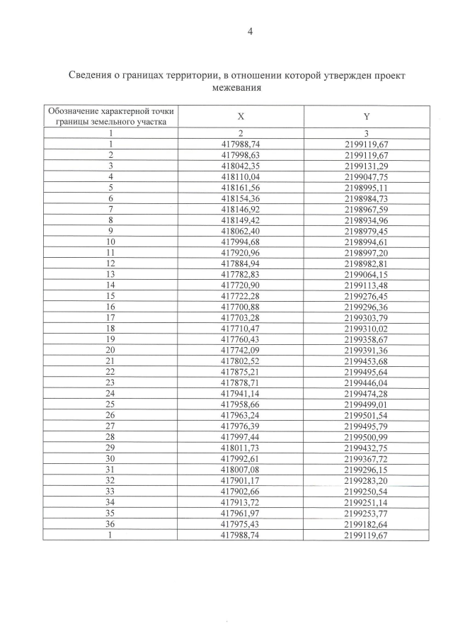
"Об утверждении проекта планировки территории и проекта межевания территории, включающей земельные участки с кадастровыми номерами 47:14:0000000:38056, 47:14:0000000:39681, 47:14:0502017:694, 47:14:0502017:12, 47:14:0502017:13, и расположенной в п. Аннино Аннинского городского поселения Ломоносовского муниципального района Ленинградской области"
(Зарегистрирован 14.03.2023 № 01-06-41/23)
Номер опубликования: 4701202303170007
Дата опубликования: 17.03.2023
Страница №36 из 50:
Увеличить