Официальное опубликование правовых актов
ОФИЦИАЛЬНОЕ ОПУБЛИКОВАНИЕ
Приказ Комитета градостроительной политики Ленинградской области от 15.02.2023 № 27
"Об утверждении правил землепользования и застройки муниципального образования Тельмановское сельское поселение Тосненского района Ленинградской области"
(Зарегистрирован 15.02.2023 № 27)
Номер опубликования: 4701202302210008
Дата опубликования: 21.02.2023
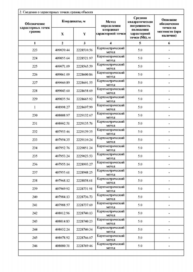
Страница №225 из 605:
Увеличить