Официальное опубликование правовых актов
ОФИЦИАЛЬНОЕ ОПУБЛИКОВАНИЕ
Приказ Комитета градостроительной политики Ленинградской области от 15.02.2023 № 24
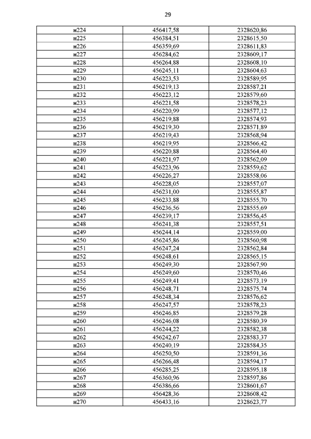
"Об утверждении проекта планировки территории и проекта межевания территории с целью размещения линейного объекта "Газопровод межпоселковый от ГРС Сясьский ЦБК до д. Пехалево, д. Березье, д. Немятово-2, д. Немятово-1, д. Глядково Волховского района Ленинградской области"
(Зарегистрирован 15.02.2023 № 01-06-24/23)
Номер опубликования: 4701202302170008
Дата опубликования: 17.02.2023
Страница №109 из 161:
Увеличить