Официальное опубликование правовых актов
ОФИЦИАЛЬНОЕ ОПУБЛИКОВАНИЕ
Приказ Комитета по природным ресурсам Ленинградской области от 30.01.2023 № 1
"О внесении изменений в приказ комитета по природным ресурсам Ленинградской области от 01.11.2018 года № 20 "Об утверждении лесохозяйственного регламента Кировского лесничества Ленинградской области"
(Зарегистрирован 30.01.2023 № 1)
Номер опубликования: 4701202302030009
Дата опубликования: 03.02.2023
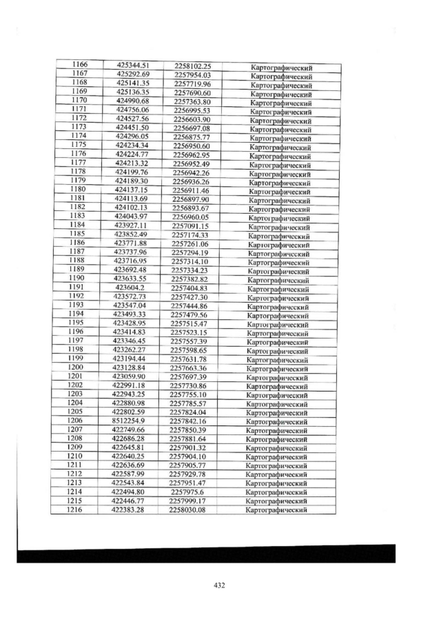
Страница №433 из 451:
Увеличить