Официальное опубликование правовых актов
ОФИЦИАЛЬНОЕ ОПУБЛИКОВАНИЕ
Приказ Комитета градостроительной политики Ленинградской области от 25.01.2023 № 11
"Об утверждении Правил землепользования и застройки муниципального образования Колтушское сельское поселение Всеволожского муниципального района Ленинградской области"
(Зарегистрирован 25.01.2023 № 01-06-11/23)
Номер опубликования: 4701202301300003
Дата опубликования: 30.01.2023
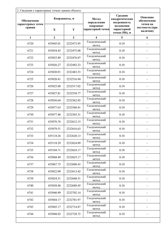
Страница №511 из 2539:
Увеличить