Официальное опубликование правовых актов
ОФИЦИАЛЬНОЕ ОПУБЛИКОВАНИЕ
Приказ Комитета градостроительной политики Ленинградской области от 20.01.2023 № 8
"О внесении изменений в Правила землепользования и застройки муниципального образования "Сясьстройское городское поселение" Волховского муниципального района Ленинградской области"
(Зарегистрирован 20.01.2023 № 01-06-08/23)
Номер опубликования: 4701202301230014
Дата опубликования: 23.01.2023
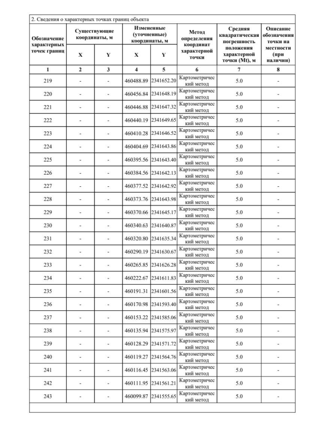
Страница №16 из 788:
Увеличить