Официальное опубликование правовых актов
ОФИЦИАЛЬНОЕ ОПУБЛИКОВАНИЕ
Приказ Комитета градостроительной политики Ленинградской области от 17.01.2023 № 3
"О внесении изменений в Правила землепользования и застройки муниципального образования "Агалатовское сельское поселение" Всеволожского муниципального района Ленинградской области"
(Зарегистрирован 17.01.2023 № 01-06-03/23)
Номер опубликования: 4701202301230007
Дата опубликования: 23.01.2023
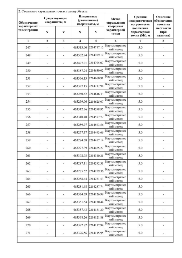
Страница №18 из 265:
Увеличить