Официальное опубликование правовых актов
ОФИЦИАЛЬНОЕ ОПУБЛИКОВАНИЕ
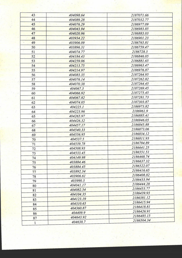
Приказ Комитета по сохранению культурного наследия Ленинградской области от 21.12.2022 № 01-03/22-289
"Об утверждении границ зон охраны объекта культурного наследия регионального значения "Усадьба "Волковицы", адрес (местонахождение): Ленинградская область, Ломоносовский муниципальный район, Кипенское сельское поселение, деревня Волковицы, южнее Таллинского шоссе, западной границей примыкающий к дороге Кипень-Переярово, режимов использования земель и требований к градостроительным регламентам в границах данных зон"
Номер опубликования: 4701202212280002
Дата опубликования: 28.12.2022
Страница №7 из 10:
Увеличить